Quadratic equations are mathematical expressions involving a variable raised to the second power. These equations can be solved using various methods, and one of the most common techniques is factoring. Factoring involves breaking down the quadratic equation into simpler terms in order to find the values of the variable that satisfy the equation.
Factoring quadratic equations can be a challenging task for students, as it requires a good understanding of algebraic concepts and techniques. However, with practice and patience, anyone can master the skill of solving quadratic equations by factoring.
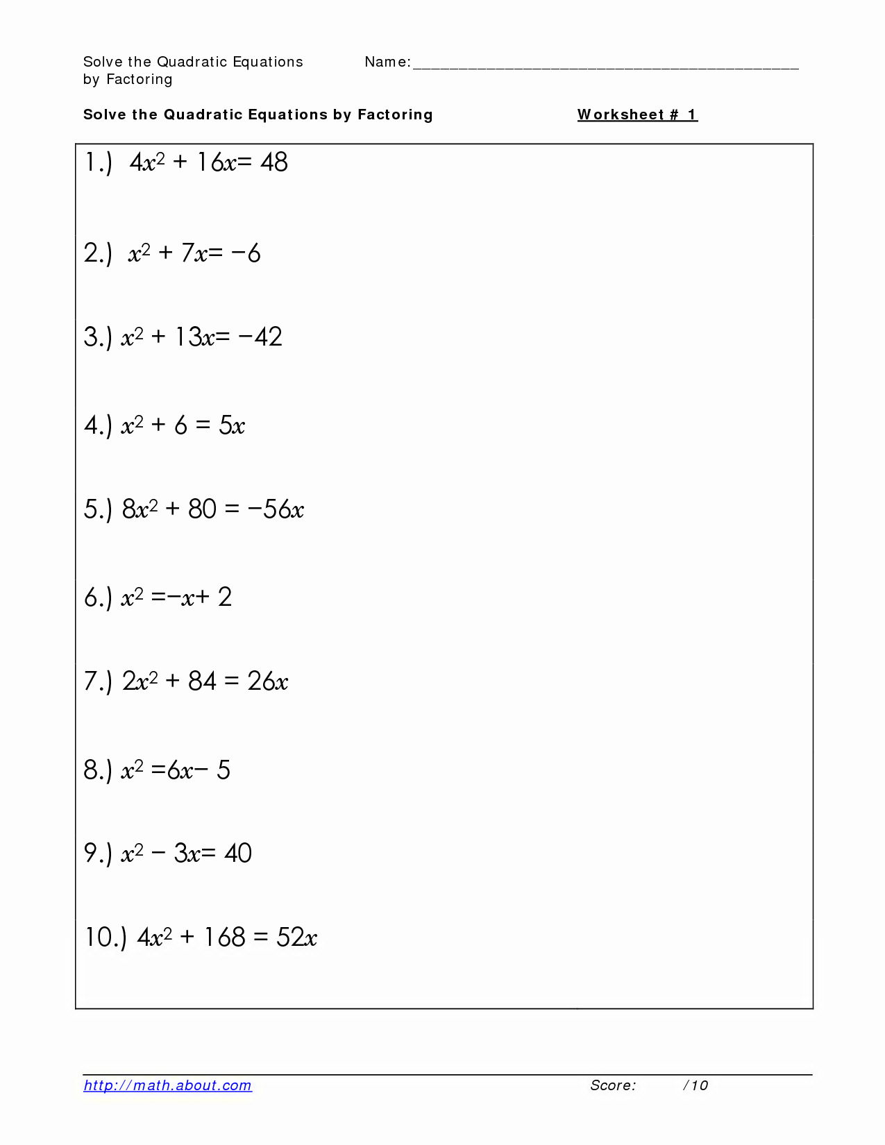
Solving Quadratic Equations by Factoring Worksheet
One way to practice and improve your skills in factoring quadratic equations is by using a worksheet specifically designed for this purpose. These worksheets typically contain a series of quadratic equations that need to be factored in order to find the solutions. By working through these worksheets, students can gain confidence in their ability to factor quadratic equations and improve their problem-solving skills.
When working on a factoring worksheet, it is important to remember the basic steps involved in factoring a quadratic equation. First, look for common factors that can be factored out of the equation. Then, factor the remaining quadratic expression using methods such as the AC method or grouping. Finally, set each factor equal to zero and solve for the variable to find the solutions to the equation.
Practice makes perfect when it comes to factoring quadratic equations. By working through a variety of problems on a factoring worksheet, students can improve their factoring skills and become more proficient at solving quadratic equations. With regular practice and dedication, anyone can master the art of factoring and solve even the most challenging quadratic equations with ease.
In conclusion, solving quadratic equations by factoring is a valuable skill that can be developed through practice and perseverance. By using worksheets specifically designed for factoring quadratic equations, students can hone their problem-solving abilities and improve their understanding of algebraic concepts. With dedication and hard work, anyone can become proficient at factoring quadratic equations and tackle even the most complex mathematical problems with confidence.
