Skip to content

Acceleration Worksheet

    Acceleration is a fundamental concept in physics that measures the rate of change of velocity of an object over time. It is a vector quantity, meaning it has both magnitude and direction. To help students grasp this concept effectively, acceleration worksheets are often used in classrooms as a tool for practice and assessment.

    Acceleration worksheets typically consist of problems and questions related to acceleration, velocity, and time. These worksheets help students understand the relationship between these variables and how they are interconnected in the context of motion. By working through these problems, students can improve their problem-solving skills and gain a deeper understanding of acceleration.

    acceleration worksheet

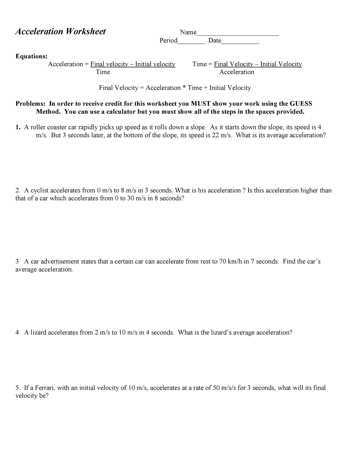
    Acceleration Worksheet

    One common type of problem found in acceleration worksheets is calculating acceleration using the formula a = (vf – vi) / t, where a is acceleration, vf is the final velocity, vi is the initial velocity, and t is the time taken. Students are required to plug in the values given in the problem and solve for acceleration.

    Another type of problem involves finding the final velocity or initial velocity given acceleration, time, and one of the other variables. In these problems, students must manipulate the acceleration formula to solve for the unknown variable. This helps reinforce their understanding of the relationship between acceleration, velocity, and time.

    Acceleration worksheets may also include real-world scenarios or word problems that require students to apply their knowledge of acceleration to solve practical problems. These problems help students see the relevance of acceleration in everyday life and how it can be used to analyze and predict the motion of objects.

    Overall, acceleration worksheets are a valuable tool for teachers to assess students’ understanding of acceleration and provide them with practice in solving problems related to this concept. By working through these worksheets, students can improve their problem-solving skills, critical thinking abilities, and overall comprehension of acceleration in the context of physics.

    In conclusion, acceleration worksheets play a crucial role in helping students understand and apply the concept of acceleration in physics. By working through problems and scenarios related to acceleration, velocity, and time, students can enhance their problem-solving skills and gain a deeper appreciation for the principles of physics. Acceleration worksheets are a valuable resource for both teachers and students in the study of motion and dynamics.


    Download and Print acceleration worksheet Listed below

    Speed Velocity And Acceleration Worksheet Printable And 51 OFF

    Acceleration Calculations Worksheet PDF Worksheets Library

    Accelerate Worksheet Worksheets Library